Explicada finalmente la anomalía de la desintegración radiactiva (tal vez)

Por
loinexplicableMartes, 25/10/2011

Un viejo misterio sobre las oscilaciones periódicas en la descomposición de algunos elementos, puede haber sido finalmente resuelto. En 2007, los físicos del acelerador de iones pesados GSI en Darmstadt, Alemania, hicieron un descubrimiento sorprendente.
Estos chicos estaban midiendo las tasas de desintegración radiactiva de núcleos de praseodimio y prometio, los cuales habían sido despojados de todos menos uno o dos de sus electrones, lo que les dejaba con una carga superior a +50.
En estas condiciones, los núcleos se sabe que decaen de una manera extraña. Los núcleos desnudos, por ejemplo, no puede decaer por captura de electrones. Esto les obliga a decaer de otras maneras menos comunes, cambiando mucho su tasa de descomposición.
En términos más generales, los físicos han sabido desde hace algún tiempo que los cambios en la temperatura y la presión puede influir en la tasa de descomposición un uno por ciento más o menos, probablemente debido a que esto también cambia la densidad de electrones alrededor del núcleo en una cantidad pequeña.
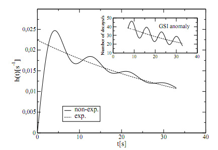
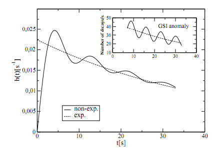
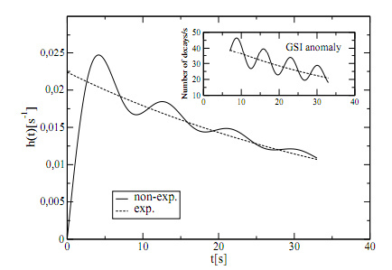
Pero lo que encontraron los chicos de GSI fue aún más extraño. Descubrieron que la tasa normal de decaimiento exponencial del praseodimio y prometio oscila con un período de unos 7 segundos. Era como si se hubiese superpuesto una oscilación sobre la curva normal de decaimiento exponencial.
Su experimento es interesante debido a que es único. Estos chicos producen un puñado de los iones en un sincrotrón y miden la descomposición de cada uno por el cambio que produce en la resonancia del haz de iones a medida que circula.
Esto da una medida exacta del tiempo de vida de cada ion, en lugar de una medida promedio del tiempo de vida media de un material, como hacen el resto de experimentos. Es fácil ver que este efecto quedaría amortiguado y sería invisible en este tipo de experimentos.
Por tanto, muchos científicos creen que el experimento del GSI, en realidad, estaba midiendo las propiedades de desintegración radiactiva en su forma más pura.
La gran pregunta, por supuesto, es qué causa la anomalía del GSI, como se ha llamado. Las primeras explicaciones se centraban en la posibilidad de que las oscilaciones de neutrones pudieran tener en cuenta dicho efecto.
Los núcleos de praseodimio y prometio decaen a través de la fuerza débil de dos formas. Un protón puede capturar un electrón creando un neutrón y un neutrino electrónico. O el protón puede desintegrarse espontáneamente en un neutrón, un positrón y un neutrino electrónico.
La idea era que los neutrinos producidos en esta reacción podrían cambiar a otros tipo, influyendo de este modo en la tasa de descomposición en una pequeña cantidad.
Sin embargo, varios físicos señalaron que el resultado no puede explicarse mediante las oscilaciones de neutrinos por la sencilla razón de que esto sólo puede ocurrir después de que se produzca el neutrino y cuando está a una distancia considerable de los núcleos.
Eso dejó a los físicos en un vergonzoso vacío. En ausencia de una explicación razonable, la anomalía del GSI se ha convertido en un incómodo grano en el culo de la física nuclear.
Hoy, Francesco Giacosa de la Universidad J.W. Goethe en Frankfurt, y Giuseppe Pagliara de la Universidad de Ferrara en Italia, proporcionan algo de alivio.
Estos muchachos dicen que la anomalía del GSI puede explicarse si los dos mecanismos de descomposición de los núcleos de praseodimio y prometio funcionan a energías ligeramente distintas. La tasa de descomposición de cada mecanismo por separado sería una curva exponencial, aunque a ritmos ligeramente distintos.
Pero ahí está la clave. Cuando ambos mecanismos ocurren al mismo tiempo, el sistema oscila entre ellos. Por lo que las variaciones periódicas observadas en el GSI son simplemente el efecto de un sistema que salta de un mecanismo de descomposición a otro. Giacosa y Pagliara dicen que esto es similar a las conocidas oscilaciones de Rabi, que tienen lugar en muchos sistemas cuánticos.
Lo más emocionante es que esta teoría lleva a una predicción interesante. Giacosa y Pagliara dicen que si el equipo del GSI puede medir la tasa de descomposición en intervalos mucho menores que 7 segundos, esta tasa debería bajar rápidamente a cero. Si el experimento del GSI pudiese medir unos pocos puntos por debajo de 10 segundos, nuestra interpretación podría ser fácilmente rechazada o aprobada, dicen.
Estas ideas tienen implicaciones más amplias. Giacosa y Pagliara dicen que este efecto podría explicar otras extrañas variaciones periódicas en las tasas de descomposición que los físicos han observado en escalas de tiempo mucho mayores. Ya hemos revisado algunas aquí.
Es más, las variaciones son claramente efectos fundamentales de la mecánica cuántica, que podrían tener profundas implicaciones en nuestra comprensión de los procesos nucleares que suceden en el interior de las estrellas.
Y todo esto significa que aún queda diversión con la anomalía del GSI, sea cierta o no esta explicación.

Por
loinexplicable